MarsDust: Polvere di Marte.
Nessuna Informazione Trovata
Il quarto pianeta del sistema solare ha sempre suscitato curiosità e speciali attenzioni sia dagli “addetti ai lavori” che dagli astrofili, così come anche da innumerevoli appassionati. In virtù di ciò, sarebbe il caso di iniziare la nostra trattazione partendo da un bilancio delle attuali conoscenze accreditate dalla comunità scientifica.
Le Temperature
Per quanto riguarda la temperatura media planetaria, esistono dati molto discordanti fra loro ma, a parte questo dettaglio, sappiamo con relativa certezza che se Marte fosse completamente privo di un’atmosfera, la sua temperatura media oscillerebbe intorno ai -60°C.Da un’attenta analisi delle informazioni liberamente reperibili è però emersa una strana situazione: diverse fonti NASA ci riferiscono di una temperatura media planetaria che si attesterebbe intorno a -63°C laddove invece, utilizzando i dati del Mars Climate Database (MCD per abbreviazione) si otterrebbe una temperatura media di -40°C.Per intenderci, anche l’MCD è uno strumento di consultazione della NASA e pertanto da considerarsi affidabile. Tuttavia, secondo tale fonte, nella parte meridionale della fascia tropicale marziana sarebbero state registrate temperature di +39°C.
Usando i dati della MCD abbiamo creato quest’animazione per mostrarvi l’andamento della temperatura a partire dal suolo fino ad un’altezza di 2 metri da esso. Abbiamo scelto l’ora più calda (le 13 ora locale) e una longitudine solare di 270°C che corrisponde all’inizio dell’estate australe, che è anche il momento in cui più frequentemente si innescano le grandi tempeste di polvere. Infatti, poco prima Marte si trova anche alla minima distanza dal sole (perielio); la combinazione di estate e perielio produce le temperature più alte registrabili durante l’intero anno marziano. Come potrete notare la temperatura dell’aria a 2 metri di altezza può essere anche di 38° K più bassa della temperatura del suolo.
L’Atmosfera
A proposito dell’atmosfera marziana è rimarchevole considerare quello che si riteneva attendibile almeno fino agli inizi degli anni 60 del XX secolo, ovvero che la sua densità fosse pari a 1/3 circa di quella terrestre. Poi accadde qualcosa di straordinario che mutò radicalmente tutto.
Verso la metà degli anni 60, le sonde spaziali Mariner inviarono a Terra nuovi dati i quali fecero scendere drasticamente il valore della densità atmosferica marziana a meno di 1/200 di quella terrestre.
Ad oggi, l’opinione accreditata dalla comunità scientifica si è saldamente ancorata su un valore pari a 1/100 di quella terrestre.Benchè questo dato sia incredibilmente più basso di quanto misurato con tecniche spettroscopiche effettuate da Terra, tutti i rilevamenti atmosferici eseguiti in situ non sono mai stati messi in discussione praticamente da nessuno, ma semplicemente accettati “tout court”.
A questo punto basterebbero un minimo di esercizio logico e un po’ di buon senso per rendersi conto che questo valore sembra essere davvero sproporzionatamente basso in confronto ai fenomeni meteorologici che l’atmosfera di Marte è in grado di produrre, effetti peraltro già noti sin dalla fine del XIX secolo, grazie alle meticolose osservazioni telescopiche d’epoca.
Per chi volesse cimentarsi in qualche lettura vintage, vi suggeriamo la consultazione degli scritti di un famoso astronomo vissuto proprio in quel periodo storico, ossia Eugene Michael Antoniadi. Tra l’altro, le sue mappe di Marte sono divenute nel tempo un importante punto di riferimento per l’areografia sino agli inizi dell’era spaziale.
Questo grande astronomo, che per inciso demolì la teoria dei canali artificiali di Percival Lowell (tesi abbracciata pure da Giovanni Schiaparelli), si concentrò invece sull’osservazione di parecchie manifestazioni dell’atmosfera marziana, tutte descritte dettagliatamente nel suo celebre libro "La planète Mars: Étude basée sur les résultats obtenus avec la grande lunette de l'observatoire de Meudon et exposé analytique de l'ensemble des travaux exécutés sur cet astre depuis 1659". Paris, Hermann, (1930).
Se puntassimo il telescopio verso Marte non vedremmo “solamente” un disco rossastro, ma qualcosa di assai più complesso. Normalmente è possibile seguire l’evoluzione stagionale delle calotte polari che si restringono d’estate e si allargano d’inverno, scendendo fin quasi a 55 gradi di latitudine in entrambi gli emisferi. Questi cambiamenti delle calotte polari si accompagnano spesso a formazioni nuvolose che possono essere generate da vapore acqueo o (secondo varie fonti accreditate) da ghiaccio secco, oppure ancora da tempeste di polvere locali di solito distinguibili per il loro colore giallo ocra. Talvolta, perlopiù durante l’estate nell’emisfero meridionale, le tempeste di polvere possono allargarsi arrivando a interessare l’intero pianeta, offuscando così la visione dei dettagli di superficie anche per diverse settimane.
Quanto sopra descritto era ben chiaro e conosciuto sin dagli inizi del XX secolo. Era risaputo che l’atmosfera marziana godeva di una grande dinamicità così com’era altrettanto ben noto il suo più che probabile contributo nell’evoluzione delle calotte polari stesse.
L’osservazione telescopica aveva inoltre fornito già a quei tempi dei solidi indizi sulla presenza di nebbie mattutine e serali, visibili come una sfumatura azzurrognola in prossimità della linea del terminatore, ovvero la linea che separa la zona illuminata da quella in ombra.
Un altro grande astronomo che contribuì all’approfondimento della natura dell’atmosfera marziana fu Gérard de Vaucouleurs. Tra i suoi studi e ricerche si possono ricordare le accurate analisi delle variazioni luminose e cromatiche di dettagli della superficie marziana scelti come campione di riferimento.
In pratica, Vaucouleurs confrontava la visibilità dei dettagli quando essi transitavano al centro del disco marziano con la visibilità degli stessi quando transitavano in prossimità del bordo esterno del disco del pianeta. Da questo studio approfondito poté calcolare la densità dell’atmosfera di Marte ottenendo un valore di circa 1/3 di quello terrestre. Stando a queste conclusioni risultava perfettamente ragionevole la possibilità che l’atmosfera marziana fosse in grado di produrre tutte le manifestazioni osservate.
Alla luce dei moderni dati accreditati dalla comunità scientifica, come si concilia la nozione di atmosfera estremamente rarefatta con i fenomeni osservati da ben oltre 100 anni?
In base ai dati oggi considerati attendibili dalla comunità scientifica, il contenuto medio di umidità dell’atmosfera di Marte è talmente esiguo che se potessimo condensare al suolo tutta l’acqua in essa contenuta otterremo uno strato di pochi millesimi di millimetro, uno strato così sottile che se posto sulle nostre dita non saremmo in grado di percepire la benché minima sensazione di umido!
Ciò nonostante, le nebbie sono state ampiamente confermate anche dalle moderne sonde spaziali come già documentato da una ricerca del 2009 compiuta su dati provenienti dalla Mars Express. C’è da chiedersi come fa una quantità così esigua di acqua a produrre delle nebbie tanto dense da offuscare i dettagli della superficie sottostante? E’ evidente che per ottenere nebbie di tale rilevanza, addirittura osservabili con telescopi amatoriali da Terra, è indispensabile una quantità assai più elevata di vapore acqueo.
In effetti, se partiamo dal presupposto che una determinata quantità d’acqua presente in uno specifico settore di atmosfera tenderà a raggiungere il punto di saturazione in funzione della temperatura media locale, scopriamo quindi che una temperatura media appena superiore ai -40°C potrà permettere già la formazione di diversi millimetri d’acqua vaporizzati nella suddetta porzione locale di atmosfera.
Qui però abbiamo riscontrato una graziosa insidia rappresentata proprio dal valore della temperatura media. In parole povere, sembra che questo dato tende a subire arbitrarie fluttuazioni in parecchie pubblicazioni ufficiali e così, tra un PDF e l’altro, la temperatura media può assumere diversi valori.
In ogni caso, attenendoci strettamente ai dati ufficiali, dovremmo accettare serenamente che la quantità di umidità contenuta nell’atmosfera marziana risulta essere estremamente esigua al punto da poterla definire con il termine “irrilevante”. Per contro, le prove fotografiche mostrano invece tanto la presenza di nebbie quanto la presenza di condensazioni d’acqua al suolo. Anzi, volendo rincarare la dose a conferma, la presenza di queste nebbie (mattutine e serali) è ampiamente documentata tanto nelle osservazioni da Terra quanto nelle osservazioni satellitari in orbita a Marte.
Parlando delle calotte polari, anche la loro evoluzione implica una qualche forma di precipitazione nevosa, che pure in questo caso non potrebbe trovare una spiegazione logica accettando passivamente la quantità di umidità contenuta nell’aria marziana dichiarata dalle fonti accreditate. Sebbene qualcuno cerchi di attribuire queste precipitazioni nevose al congelamento della CO2, le nevicate fotografate dagli orbiter Viking ci dimostrano chiaramente che si tratta di neve d’acqua.
In effetti, studiando le evoluzioni termiche reperibili dal MCD, è possibile verificare come il limite delle calotte polari segue generalmente la soglia dello 0°C, corrispondente al punto di congelamento dell’acqua, piuttosto che quella dei -123°C che corrisponde alla temperatura di congelamento della CO2 ad una pressione media di 6 hPa.
Altre prove che smentiscono una quantità di umidità così esigua nell’atmosfera marziana sono le gocce d’acqua liquida formatesi sulle gambe della sonda Phoenix così come l’evidente natura umida del suolo su cui sono rimaste impresse le tracce di Spirit, Opportunity e Curiosity in alcune località.
"MarsDust": Polvere Di Marte
A questo punto sorgono i veri problemi! Prendiamo in considerazione i “dust devils” che si innalzano fino a qualche chilometro e chiediamoci come può un’atmosfera così tenue disporre di un tale potenziale di energia cinetica da sollevare una quantità notevole di sabbia, anche della più fine che si possa immaginare.
Facciamo due conti...La densità dell’atmosfera marziana dovrebbe essere pari a circa 1/62 di quella terrestre. Detto in altri termini, un metro cubo d’aria marziana nel cosiddetto “punto datum” peserebbe 1/62 di un metro cubo d’aria terrestre al livello del mare. Sarebbe allora facile obbiettare andando a parare sulla gravità, visto che a casa nostra (sulla Terra) essa è 2.7 volte superiore a quella marziana. Infatti, 62,5 / 2.7 = 23,15.
Ma, anche volendo tener conto di questo valore parziale, rimane ugualmente un rapporto sfavorevole di 1:23, del quale dobbiamo poi estrarre la radice quadrata per arrivare infine ad un dato pari a 4,8 che – in questo caso - rappresenta il vero rapporto che intercorre fra il vento terrestre e il vento marziano, necessario a sollevare lo stesso tipo di materiale. Quindi, anche facendo questa giusta correzione* gli effetti del nostro venticello terrestre a 10 km/h richiederebbero su Marte un vento almeno di 48 km/h. Questo rapporto sfavorevole è ulteriormente accentuato dal fatto che un’atmosfera molto più tenue, oltre che fredda, non potrà mai nemmeno lontanamente eguagliare la potenza e la velocità dei venti che osserviamo qui sulla Terra.
Partendo da questo presupposto appare oltremodo inspiegabile il fatto che i “dust devils” che si verificano su Marte abbiano le stesse dimensioni e proporzioni di quelli terrestri! Mediamente, un “dust devil” terrestre ha una velocità relativa dei venti che potrebbe tranquillamente arrivare fino a 80-100 km/h. E se parliamo dei grandi “dust devils” terrestri, cioè quelli che oltrepassano il km di altitudine, la corrispettiva velocità del vento potrebbe superare abbondantemente i 100-150 km/h.
Ovviamente, per riprodurre lo stesso fenomeno su Marte alle condizioni dichiarate, dovremmo aspettarci di misurare tutte le volte dei venti mai osservati nemmeno sulla Terra, la cui velocità dovrebbe oscillare tra i 500 e gli 800 km/h. Che la cosa piaccia o meno, ottenere simili velocità in un’atmosfera così rarefatta è praticamente impossibile. Il vento infatti si produce quando si instaurano differenze di pressione tali da muovere delle masse d’aria nell’atto di riequilibrare queste differenze; sulla Terra le suddette differenze di pressione oscillano di solito dai 20 ai 40 hPa e sono generalmente prodotte da forti differenze di temperatura.
La legge dei gas perfetti stabilisce che la pressione di un gas aumenta o diminuisce proporzionalmente alle differenze di temperatura espressa in gradi Kelvin. Se noi chiudiamo del gas dentro due bottiglie alla stessa densità e portiamo la prima bottiglia a 200°K mentre la seconda bottiglia a 400°K, nella seconda bottiglia misureremo una pressione doppia rispetto alla prima.
Chiarito questo punto è facile dedurre che un’atmosfera con una pressione media di 6 hPa non sarà mai in grado di produrre una differenza di pressione sufficiente ad alimentare venti di grande velocità. A sfavorire la formazione di venti “similterrestri” su Marte, non interviene soltanto l’estrema rarefazione dell’atmosfera (come dichiarato) ma anche il fatto che la superficie marziana è estremamente “rugosa” e non possiede, come nel caso della Terra, delle grandi spianate oceaniche dove i venti hanno modo di accelerarsi senza incontrare ostacoli.
Per rendere l’idea, sulla Terra i grandi uragani si originano sopra le superfici oceaniche e si esauriscono incontrando la terraferma. Anche i tornado necessitano di vaste pianure e di certo non si formano sulle catene montuose. Rimane però il fatto inconfutabile che su Marte questi fenomeni sono osservati e documentati da decenni, tanto da osservazioni effettuate da Terra quanto dalle osservazioni in situ.
La scheda a cura del dott. Francesco Marcocci
Le attuali conoscenze accreditate presso la comunità scientifica internazionale ci dicono che sul quarto pianeta i venti avrebbero la capacità di portare in quota grandi quantità di polvere le quali vengono poi mantenute permanentemente sospese dall’atmosfera stessa, giustificando così le tonalità cromatiche giallo-arancione, rosa, rosso e marrone del cielo di Marte che altrimenti (per dovere di cronaca) dovrebbe invece essere praticamente nero anche in pieno giorno a causa della bassissima densità dell’aria, pari al 2% circa di quella terrestre. Sempre per dovere di cronaca, ricordiamo che sulla Terra riscontriamo simili condizioni di densità atmosferica a quote di circa 35 km dalla superficie. A tal fine vogliamo tentare di capire se è possibile che un’atmosfera così tenue possa sollevare la polvere e tenerla sospesa anche a quote molto elevate. In questa scheda tecnica ci occuperemo solo del sollevamento in quota delle polveri, tralasciando l’approfondimento di fenomeni come i venti longitudinali, i dust devils e la saltazione. Questi ultimi richiederebbero un’esposizione assai più complessa e richiederebbero inoltre l’applicazione di particolari software in grado di simulare modelli atmosferici non strettamente necessari in questo contesto. Nella fattispecie, il fenomeno dei moti convettivi corrisponde a ciò che su Marte dovrebbe giustificare i venti ascensionali, quelli che generalmente sollevano la polvere.
Il suolo marziano (al pari di quello terrestre) si scalda più rapidamente dell’aria, producendo così un gradiente termico che può arrivare fino a circa 30°C nell’intervallo di 1,5 m di altezza a partire dal suolo. Facciamo allora la seguente ipotesi. Immaginiamo una particella di polvere avente un diametro di 10 μm e una densità pari a 1000 Kg/m3 (analogamente all’acqua). Possiamo dunque assimilare l’aria di Marte ad un gas perfetto e possiamo supporre inoltre che quando l’aria è prossima al suolo raggiungerà una temperatura di 30°C superiore alla stessa aria che si trova a 1,5 m sopra. L’aria più calda e leggera sale dunque ad 1,5m dal suolo, cede istantaneamente la sua energia termica all’ambiente più freddo e torna giù spinta dalla corrente di aria calda che, nel frattempo, sta salendo.
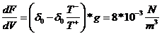
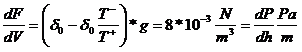
Possiamo pensare che la forza di volume che agisce su un elemento di aria calda è:
Dove δ0: densità media aria di Marte a temperatura T- ; T-:temperatura a 1,5 m; T+:temperatura al suolo. La forza di volume è anche uguale al gradiente di pressione con la quota:
Cominciamo con l'ipotizzare il problema del sollevamento di un granello sferico di polvere con 10? m di diametro e densità di 1000 Kg/m3 come l'acqua. Il suo peso è:
Perché il granello di polvere si possa sollevare è necessaria una differenza di pressione che produca una spinta superiore al suo peso ovvero:
Questo equivale ad un gradiente di pressione necessario a sollevare la polvere:
Si trova che, per la forma sferica della particella, il gradiente di pressione necessario al sollevamento non dipende dalle dimensioni della particella stessa. Ma, nelle condizioni di Marte, anche un gradiente termico di ben 30°C in 1,5 m potrà garantisce al massimo un gradiente di pressione di appena 0,00008 hPa/m contro i 24,67 hPa/m (circa 308 mila volte quello che servirebbero per sollevare la polvere).
Quindi i moti convettivi e le differenze termiche dovute ad un suolo molto più caldo dell’aria non riuscirebbero a sollevare la polvere nelle condizioni di Marte. Come abbiamo visto i moti convettivi, ovvero la pompa termica permanente, non possono sollevare la polvere. Anche sulla Terra a dire il vero i moti convettivi muovono l’aria e assicurano lo scambio termico, ma non certo la polvere. Ma ipotizziamo comunque che una folata di vento estemporanea o un mega dust devil, sollevi la polvere ad 1 Km…. Calcolando la velocità di equilibrio che si ottiene considerando il peso della particella di polvere e la forza di attrito viscoso dell’aria si ottiene:
Con questa velocità si deduce che in circa 7 minuti tutta la polvere ricadrà al suolo, quindi sarebbe assurdo pensare che l’atmosfera di Marte possa mantenere la polvere in eterna sospensione e quindi non possiamo addurre la polvere sospesa nell’atmosfera come giustificazione allo scattering del cielo di Marte.
Com'è possibile che questo tipo di di analisi sia sfuggita a migliaia di eminenti scienziati sparsi in tutto il mondo?
Ad essere onesti noi non abbiamo una risposta precisa al riguardo. Tuttavia, la nostra curiosità scientifica ci ha spinto ad analizzare in dettaglio il problema, arrivando alle conclusioni esposte nell’articolo. Per spezzare una lancia in favore del mondo scientifico, va fatto notare che le ricerche in campo planetario sono svolte da team molto numerosi composti da scienziati altamente specializzati in settori molto specifici; questo sicuramente non aiuta alla formazione di una visione globale d’insieme in cui tutti gli elementi devono concordare tra di loro.
Perché dovrebbero nasconderci informazioni sulla reale entità dell'atmosfera Marziana?
In realtà non stanno nascondendo nulla, visto e considerato che tutti i dati da noi mostrati ed elaborati nei nostri studi provengono da fonti ufficiali accreditate. Non è quindi un problema di “nascondere”, semmai il vero problema è capire ed interpretare correttamente ciò che sta sotto gli occhi di tutti, ma che quasi nessuno osa contestare in modo scientifico. Aggiungiamo inoltre che la stragrande maggioranza dei dati climatici marziani provengono da un’unica fonte, venendo così a mancare il principio fondamentale della falsificabilità dei dati, che sta alla base della convalidazione scientifica di ogni misurazione fisica.
Non vi sembra che il vostro lavoro abbia un taglio di tipo complottista?
No. Assolutamente no!
Un complottista si basa perlopiù su dati incerti o discutibili per costruire un castello di presupposizioni, che spesso appaiono oltretutto ridicole e inverosimili. Per contro, noi raccogliamo dati scientifici convalidati e li elaboriamo secondo le normali leggi della fisica per calcolare scientificamente la natura fisica dell’ambiente marziano. La differenza sostanziale è che ciò che emerge dalle nostre ricerche è perfettamente verificabile e falsificabile da chiunque abbia un minimo di cognizione di fisica, senza neanche fare lo sforzo di cercare i dati originali vistoci premuriamo regolarmente di fornire tutti i riferimenti necessari a ritrovare i dati da noi citati. Nonostante ciò, fino ad oggi nessuno ha mai “smontato” le nostre ricerche.














